Gun-Violence Exposure Across Neighborhood Networks Increased by Racial Segregation
By Noli Brazil, UC Davis
Exposure to gun violence within one’s own residential community is undoubtedly consequential. However, residents also spend significant time outside of their own neighborhoods, travelling to neighborhoods both near and far. Accounting for the collection of neighborhoods that are connected via resident daily travel, which I term the neighborhood network, contributes to a more complete portrait of gun-violence exposure.
In a recent study, I constructed neighborhood networks based on resident daily mobility flows for the 100 largest US metropolitan areas. I compared neighborhood gun-violence exposure in the residential neighborhood, the neighborhoods bordering the residential neighborhood, and the non-residential and non-adjacent neighborhoods visited by residents.
I found that gun-violence exposure is greater in visited neighborhoods compared to home and adjacent neighborhoods. I also found that most metro areas exhibit either greater or equal exposure in visited neighborhoods relative to home neighborhoods. Black neighborhoods exhibit greater gun-violence exposure across all scales, while segregation increases gun-violence exposure in neighborhood networks for Black, Hispanic and mixed racial/ethnic neighborhoods.
Policymakers should note the importance of neighborhood networks and segregation in their efforts to address gun-violence exposure among disadvantaged communities.
Key Facts
- Gun-violence exposure is greater in visited neighborhoods compared to residential neighborhoods and their surrounding areas.
- Black neighborhoods exhibit greater gun-violence exposure across all scales, while segregation increases gun-violence exposure in neighborhood networks for Black, Hispanic and mixed racial/ethnic neighborhoods.
- Policymakers should note the importance of neighborhood networks in their efforts to address gun-violence exposure among disadvantaged communities.
Background
In 2023, nearly 20,000 people in the United States died as a result of a gun violence, the highest number since the mid-1990s.[1] Rates of firearm violence have grown most in urban settings.[2] The impact of gun violence extends beyond the victim of harm to individuals living or spending time in places impacted by elevated rates of violence, regardless of whether the violence is witnessed or experienced directly.[3] Negative consequences include worse mental health, higher risks for chronic physical conditions and functional disability, reduced attention and impulse control, and poorer performance in school and work.[4] Violent events also impact neighborhood-level outcomes, including reduced social cohesion, trust, and social ties, and increased levels of disorder and crime.[5]
Gun violence is concentrated in neighborhoods characterized by concentrated socio-economic disadvantage, particularly in areas with higher proportions of non-white residents.[6] Meanwhile, greater city and metropolitan area segregation levels heighten exposure to violence in historically marginalized communities.[7] Such violence exacerbates community rates of poor mental health, poor health behaviors, low rates of health care utilization, high rates of juvenile delinquency, and risks for chronic physical conditions.[8] In turn, poor community health and health behaviors may degrade a wide range of neighborhood social outcomes, including levels of civic engagement, social cohesion and collective efficacy.
Studies of neighborhood gun violence exposure have focused on the neighborhoods where residents live. However, prior work has demonstrated that individuals spend large proportions of time outside of their residential communities. Aggregating these individual trips up to the population level reveals a higher-order, urban network formed by large and consistent flows connecting neighborhoods both near and far. Here, this network may expose certain residents to neighborhoods outside of their residential settings that are affected by gun-violence exposure. By not accounting for this network, we are potentially misestimating the geographic burden of gun violence exposure, and its inequality across racial/ethnic lines.
To address this gap, I set out to answer three questions in my study.[9] First, do gun violence rates differ between residential neighborhoods, their bordering neighborhoods, and the neighborhoods they are connected to via resident daily travel? Second, are there racial disparities in mobility-based neighborhood gun violence exposure, and how do these disparities compare to those in the residential neighborhood and the neighborhoods surrounding it? Third, does racial segregation moderate racial/ethnic disparities in gun-violence exposure?
Tracking gun violence across neighborhood networks
Using anonymized mobile phone data, I constructed neighborhood networks based on daily mobility flows for the 100 largest US metropolitan statistical areas (MSAs) in 2018–2019. I examined differences in neighborhood exposure to gun violence and its association with ecological conditions across three neighborhood scales: (1) the residential neighborhood; (2) the neighborhoods bordering the residential neighborhood; and (3) the non-residential and non-adjacent neighborhoods visited by residents. I then examined ethnoracial inequalities in exposure by comparing differences by neighborhood ethnoracial composition. Finally, I examined the degree to which segregation levels modified neighborhood ethnoracial inequalities in gun-violence exposure.
My assessment of residents’ mobility between neighborhoods was based on the location pings of their smartphone devices. Data on gun-violence incidents occurring in census tracts between 2018 and 2019 were obtained from the nonprofit Gun Violence Archive. Data on census-tract-level demographic and socio-economic characteristics were drawn from the American Community Survey five-year 2015–2019 estimates. I used linear regression models to estimate neighborhood exposure to gun violence across residential, adjacent and network scales.
Neighborhood networks play important role in rates of gun-violence exposure
I found that gun-violence exposure is greater in visited neighborhoods compared to residential neighborhoods and their surrounding areas. On average, neighborhoods were exposed to 0.37 firearm violence incidents per 1000 residents between 2018 and 2019. The average number of incidents per 1000 residents is similar at 0.39 in bordering neighborhoods, but is higher in the neighborhoods that residents visit at 0.47. Furthermore, neighborhoods experiencing higher exposure to gun violence within and surrounding their boundaries are also connected to neighborhoods that have higher exposure to gun violence. An increase of one gun-violence incident per 1000 residents in the residential neighborhood was associated with an average increase of 0.115 incidents per 1000 residents in the neighborhoods their residents visit.
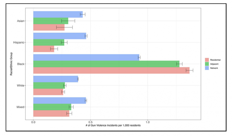
In terms of ethnoracial differences, average gun-violence exposure was highest in the neighborhoods that residents travel to for Asian, Hispanic, white and mixed neighborhoods. For Black neighborhoods, gun violence exposure was lower at the network scale compared to the residential and adjacent scales. The average number of gun-violence incidents per 1000 residents was 0.93 in Black neighborhood networks compared to 1.37 in Black residential and adjacent neighborhoods.

Figure 1. Estimated mean gun violence exposure with 95% confidence intervals in residential neighbourhoods (residential), adjacent neighbourhoods (adjacent), and the nonadjacent neighbourhoods that residents visit (network) by majority neighbourhood race/ethnicity.
I found that segregation shapes patterns of neighborhood gun violence exposure, increasing gun violence exposure for Black, Hispanic and mixed residential neighborhoods (Figure 1). At the network level, segregation showed no association with gun violence exposure for Asian and white neighborhoods and a positive association for Black (0.42), Hispanic (0.017) and mixed (0.014) neighborhoods, with the magnitude of the Black association considerably stronger.
Gun-violence policy should account for mobility flows
I found that neighborhoods were, on average, more exposed to gun violence in the places residents visited than in their home or adjacent neighborhoods, even after accounting for sociodemographic factors. In most of the 100 largest MSAs, this network exposure was equal to or greater than residential exposure, particularly for Asian, Hispanic, mixed, and white neighborhoods.
This higher exposure in visited neighborhoods suggests that the geographic burden of gun violence has been underestimated. Disadvantaged and resource-deprived neighborhoods carry the greatest burden, especially Black neighborhoods, which face network gun-violence exposure nearly twice as high as other racial and ethnic groups. For these communities, the burden spans across residential, adjacent, and network levels, reflecting a deeply embedded structural disadvantage. Segregation appears to be a key factor shaping these disparities. Patterns of racial segregation in residential neighborhoods extend into the places people travel, forming racially segregated mobility networks throughout cities.
These findings suggest that public health and policy interventions must account for mobility. Daily movement patterns expose people to gun violence beyond their home neighborhoods and enable the diffusion of violence across geographic boundaries. Effective violence prevention requires collaboration among communities connected through these networks. By recognizing neighborhoods as part of larger, mobility-based interconnected systems rather than isolated units, policymakers and practitioners can better target interventions, share resources more efficiently, and address the broader ecology of gun-violence exposure.
Noli Brazil is an associate professor of community and regional development at UC Davis.
References
1. CDCWONDER (2024) About provisional mortality statistics, 2018 through last month. Available at: https://wonder.cdc.gov/controller/saved/D176/D319F001 (accessed 28 July 2024).
2. Hemenway D, Nelson E (2020) The scope of the problem: Gun violence in the USA. Current Trauma Reports 6: 29–35.
3. Kravitz-Wirtz N, Bruns A, Aubel AJ, et al. (2022) Inequities in community exposure to deadly gun violence by race/ethnicity, poverty, and neighborhood disadvantage among youth in large US cities. Journal of Urban Health 99(4): 610–625.
4. Semenza DC, Kravitz-Wirtz N (2024) Gun violence exposure and population health inequality: A conceptual framework. Injury Prevention 31(1): 1–8.
5. Gard AM, Brooks-Gunn J, McLanahan SS, et al. (2022) Deadly gun violence, neighborhood collective efficacy, and adolescent neurobehavioral outcomes. PNAS nexus 1(3): pgac061.
6. Cheon C, Lin Y, Harding DJ, et al. (2020) Neighborhood racial composition and gun homicides. JAMA Network Open 3(11): e2027591.
7. Krivo LJ, Peterson RD, Kuhl DC (2009) Segregation, racial structure, and neighborhood violent crime. American Journal of Sociology 114(6): 1765–1802.
8. Bancalari P, Sommer M, Rajan S (2022) Youth exposure to endemic community gun violence: A systematic review. Adolescent Research Review 7(3): 383–417.
9. Brazil, N. (2025). Beyond residential and extra-local spaces: Gun violence exposure in urban neighborhood mobility networks. Urban Studies, 0(0).
https://doi.org/10.1177/00420980251325142

